機械密封的各參數示意圖
機械密封的各參數示意圖:
對不同型式的密封,平衡直徑取值不同。對于推環型密封,其值為軸或軸套的臺肩直徑;
圖1-4 各參數示意圖,

對于波紋管密封,其值近似地可取有效直徑De。波紋管密封的有效直徑是隨密封系統壓力的增大而減小的,因此,通常給出的只是未承壓時近似的波紋管有效直徑為

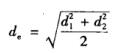
對于矩形波(如車制聚四氟乙烯塑料波紋管),波紋管的有效直徑為

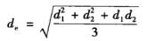
對于鋸齒波(如弓形焊接金屬波紋管),波紋管直徑為
![]()
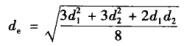
對于U形波(如弓形焊接金屬波紋管〉,波紋管直徑為
![]()
內流式波紋管機械密封及波紋管受外壓時的有效直徑見圖1-5
圖1-5 內流式波紋管機械密封及波紋管受外壓時的有效直徑

H10機械密封
本文源自http://m.hongliyishu.com/news/524.html,轉載請注明出處。
(責任編輯:機械密封http://m.hongliyishu.com)
上一篇:機械密封的名義接觸面積和有效接觸面積 下一篇:外流式波紋管機械密封參數
- 上一篇:機械密封的名義接觸面積和有效接觸面積
- 下一篇:外流式波紋管機械密封參數
機械密封熱門文章
機械密封文章推薦
最新資訊
- 2023-07-04· 注冊就送38的平臺(官方)APP下
- 2023-06-30· 機械密封的保養與維修方法
- 2023-06-29· 機械密封的運行原理及其特點
- 2023-06-29· 機械密封的密封材料與密封性
- 2023-06-28· 機械密封的安裝及維護方法
- 2023-06-26· 機械密封的密封原理及其應用
聯系我們
浙江生產基地:浙江嘉善環城東路硅谷開發區(赤盾科技園)
嘉興銷售及技術支持中心:嘉興市環北西路經濟開發區
國內24小時銷售人員電話:18202142627
國內24小時技術支持:13917573091
電子郵件:1050760236@qq.com
jxchishidun@163.com
即時聊天工具:QQ: 1050760236
微信:15990310020
網址:m.hongliyishu.com



