機械密封的密封特性
機械密封的密封特性:
圖1-14所示為直徑75mm平衡型機械密封在轉數為3600r/min下試驗的
特性。利用校正系數
可以得出其他直徑和轉數的泄漏量,即利用公式
![]()
及特性數據可得
![]()
從圖中可看出:在8*****<0.5MPa時泄漏量隨的增加而增大;在/0.5時泄漏量隨如的增加而減小。這可以用式〈1-28〉中的Q與
及
的關系來說明。
圖1-15所示為泄漏校正系數與軸徑和轉速的關系曲線。該曲線可用來求取不同軸徑和轉速下的泄漏量校正系數,它與黏性流動無直接關系,其中純粹是由表面微凸體相互運動產生的泵送效應,這一結論是由現場經驗產生的。
圖1-14平衡型機械密封的
特性曲線

圖1-15密封泄漏量校正系數![]()

例題1-3試確定Φ70mm機械密封在3000r/min和2MPa的泄漏量及介質為20℃的摩擦系數。已知
,載荷系數K=0.683,
。
解:根據式(1-13)可確定端面比載荷
![]()
已知
2.5MPa/h
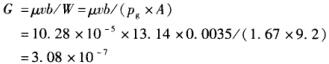
根據式(1-28)可確定泄漏量
![]()
在圖1-14中可查的
。
在圖1-15中可查的n=3000r/min,Φ70mm時密封泄漏量校正系數
=0.6。
根據式(1-29)可得
![]()
確定其置信水平:95%的密封![]()
99%的密封![]()
根據式〈1-3〉可得密封端面接觸面積
![]()
根據工況參數公式
根據
可判斷此密封處在混合摩擦狀態下工作,査圖1-12(c)可得到20℃水的摩擦系數為
=0.036。
318機械密封
本文源自http://m.hongliyishu.com/news/544.html,轉載請注明出處。
(責任編輯:機械密封http://m.hongliyishu.com)
上一篇:機械密封的摩擦特性 下一篇:機械密封密封環的力變形和熱變形
- 上一篇:機械密封的摩擦特性
- 下一篇:機械密封密封環的力變形和熱變形
機械密封熱門文章
機械密封文章推薦
最新資訊
- 2023-07-04· 注冊就送38的平臺(官方)APP下
- 2023-06-30· 機械密封的保養與維修方法
- 2023-06-29· 機械密封的運行原理及其特點
- 2023-06-29· 機械密封的密封材料與密封性
- 2023-06-28· 機械密封的安裝及維護方法
- 2023-06-26· 機械密封的密封原理及其應用
聯系我們
浙江生產基地:浙江嘉善環城東路硅谷開發區(赤盾科技園)
嘉興銷售及技術支持中心:嘉興市環北西路經濟開發區
國內24小時銷售人員電話:18202142627
國內24小時技術支持:13917573091
電子郵件:1050760236@qq.com
jxchishidun@163.com
即時聊天工具:QQ: 1050760236
微信:15990310020
網址:m.hongliyishu.com



